Fonte: Springer Nature - 25.06.2023
La ricerca qui presentata si ricollega alla strategia dell’UE sulla biodiversità per il 2030 esposta dalla Commissione europea nel 2020 quale elemento chiave del Green Deal europeo, il piano dell’Ue per raggiungere la neutralità climatica nel 2050. Annunciato come una priorità, il piano è stato oggetto di proteste da parte di alcuni Stati membri e categorie economiche che ne hanno comportato dei compromessi al ribasso.
Dalla Strategia sulla biodiversità per il 2030 lo studio prende in esame il complesso delle aree con diversi livelli di protezione esistenti nell’ambito dei 27 Paesi dell’UE condividendo la valutazione presente nel documento europeo sulla biodiversità che «l'attuale rete di zone giuridicamente protette, comprese quelle sottoposte a protezione rigorosa, non è però abbastanza ampia da salvaguardarla». Nelle sue conclusioni lo studio propone di accogliere l’invito della Commissione perché della superficie dell’UE: «almeno un terzo delle zone protette dovrebbe esserlo rigorosamente, vale a dire il 10 %». Una misura di protezione fondamentale per costituire dei «rifugi dell'Antropocene, ossia aree che forniscono una protezione spaziale e a lungo termine dalle attività umane e che rimarranno idonee a sostenere la biodiversità e i processi ecologici nel lungo periodo».
Analisi della distribuzione delle aree strettamente protette verso l'obiettivo UE2030
Abstract
La protezione della biodiversità globale è uno dei compiti più urgenti dei prossimi decenni. La conservazione basata su aree protette è un pilastro per preservare gli ecosistemi e le specie. Le aree rigorosamente protette preservano in modo specifico la biodiversità e i processi ecosistemici. La “Strategia dell'UE per la biodiversità per il 2030” prevede una protezione rigorosa per il 10% della superficie terrestre. In questa sede abbiamo effettuato la prima analisi delle aree strettamente protette (di tipo IUCN Ia, Ib e II)* in Europa, analizzando la loro copertura territoriale a livello di regioni biogeografiche, Paesi e livelli altimetrici. Dimostriamo che, con poche eccezioni, la quantità di aree strettamente protette è molto limitata e la distribuzione spaziale di tali aree è polarizzata verso i siti di maggiore altitudine, come nel caso di altre aree protette. Suggeriamo quindi di identificare aree potenziali per espandere le aree strettamente protette con bassi costi economici e sociali, tra cui, ad esempio, aree con alto valore di biodiversità, ridotta popolazione e basso uso produttivo del suolo. Infine, proponiamo che uno sforzo coordinato e un piano strategico per raggiungere la conservazione su scala continentale siano fondamentali, e che almeno la metà di questa superficie sottoposta a rigorosa conservazione (cioè il 5%) debba rientrare nelle categorie di protezione Ia e Ib.
* IUCN – Unione Internazionale per la Conservazione della Natura, categoria Ia (Riserve Naturali Integrali), categoria I b (Area Wilderness), categoria II (Parchi Naturali).
Introduzione
La distruzione, il degrado e la frammentazione degli habitat sono stati identificati tra i principali fattori di perdita della biodiversità e stanno innescando la sesta estinzione di massa (Barnosky et al. 2011; Titeux et al. 2016; Ceballos & Ehrlich 2018). Oltre il 70% della superficie terrestre (escluso l'Antartide) e circa il 90% degli oceani sono stati modificati direttamente dalle attività umane (Watson et al. 2018). In Europa non è rimasta una singola area terrestre contigua > 10.000 km2 libera da pressioni umane (Watson et al. 2018). Tuttavia, esistono ancora frammenti di aree ad elevata wilderness ed ecosistemi leggermente alterati, per lo più all'interno di aree protette (Potapov et al. 2017; Cazzolla Gatti et al. 2021a, b; Maiorano et al. 2015). Queste sono spesso circondate da aree in cui gli habitat e i processi ecologici sono stati sostanzialmente modificati (Fahrig 2003) e si trovano ad altitudini medio-alte (Joppa & Pfaff 2009), il che limita la protezione delle pianure più compromesse (Araújo et al. 2011).
Nel maggio 2020 è stata firmata la “Strategia dell'UE per la biodiversità per il 2030” (di seguito UE BIO-2030), un piano ambizioso per proteggere la natura e invertire il degrado degli ecosistemi (Mammola et al. 2020; Miu et al. 2020). Secondo questa strategia, che mira a proteggere la fauna selvatica e a migliorare la resilienza della società contro i cambiamenti climatici, gli incendi boschivi, l'insicurezza alimentare e l'insorgenza di malattie, l'UE mira ad ampliare la rete di aree protette fino al 30% del suo territorio, imponendo una protezione rigorosa su un terzo di questa superficie. Questo stabilisce un obiettivo vincolante di protezione rigorosa del 10% della superficie terrestre e marina per tutti i Paesi dell'UE (Commissione europea 2020). Garantire una parte dell'area come obiettivo di protezione rigorosa può non essere sufficiente per assicurare la conservazione della biodiversità, ma è un elemento fondamentale per preservare a lungo termine i processi ecosistemici e sostenere alti livelli di persistenza della biodiversità (Pimm et al. 2018). Un obiettivo del 10% dell'area strettamente protetta è un traguardo ambizioso per i Paesi europei, i cui paesaggi sono stati profondamente modellati da millenni di uso del suolo e impatto antropico. L'obiettivo del 10% di area strettamente protetta è stato individuato sulla base degli obiettivi globali ed europei di preservare il patrimonio planetario per le generazioni future, garantendo un elevato livello di protezione delle aree selvagge e delle specie minacciate (Dinerstein et al. 2017; Pimm et al. 2018; Wilson 2016; Butchart et al. 2016).
Secondo il documento di lavoro della Commissione europea (CE 2022): «Le aree strettamente protette sono aree interamente e legalmente protette designate per conservare e/o ripristinare l'integrità delle aree naturali ricche di biodiversità con la loro struttura ecologica sottostante e i processi ambientali naturali di supporto. I processi naturali sono quindi lasciati essenzialmente indisturbati dalle pressioni umane e dalle minacce alla struttura e al funzionamento ecologico complessivo dell'area, indipendentemente dal fatto che tali pressioni e minacce siano situate all'interno o all'esterno dell'area strettamente protetta». Questa definizione non è ancora inclusa nella legislazione degli Stati membri dell'UE, ma dà un'idea chiara di ciò che dovrebbe essere considerato strettamente protetto nel contesto dell'UE. Per ora, le aree strettamente protette (di seguito “StPA”) possono essere probabilmente identificate come le categorie IUCN Ia (Riserva naturale), Ib (Area selvaggia) e II (Parco nazionale) (IUCN 2022). All'interno di queste aree non sono generalmente consentiti tutti gli usi e le attività industriali, estrattive e distruttive che disturbano le specie e gli habitat, come le attività minerarie, l'estrazione di minerali, la deforestazione, l'acquacoltura, l'edilizia ecc. (Edgar et al. 2014; Ferreira et al. 2020; Leberger et al. 2020). Esistono tuttavia differenze in termini di gestione all'interno di questi tre tipi di aree protette. Queste categorie di aree protette sono efficaci solo se lasciate sostanzialmente indisturbate, con attività limitate e ben controllate che non interferiscono con i processi naturali. Le azioni di gestione possono essere consentite per sostenere o migliorare i processi naturali, nonché per ripristinare o conservare gli habitat e le specie per la cui protezione l'area è stata designata. Considerando che in Europa la maggior parte del territorio è stata profondamente modificata dall'uomo, le aree strettamente protette dovrebbero includere anche territori che possono recuperare il loro valore di biodiversità attraverso il restauro e il rewilding [rinaturalizzazione N.d.T.] (Navarro & Pereira 2012). Pertanto, nelle aree strettamente protette gli sforzi di conservazione possono mirare a proteggere i processi ecologici e le aree selvagge, nonché a ripristinare gli ecosistemi degradati e a ricreare aree con un elevato livello di naturalità (Carver et al. 2021). Per raggiungere gli obiettivi della Strategia dell'UE per la Biodiversità 2030, è necessario innanzitutto designare un'area adeguata da sottoporre a rigorosa protezione, come previsto dall'obiettivo del 10% dell'UE. Finora manca un'analisi biogeografica ed ecologica della copertura delle aree strettamente protette nell'UE, il che limita la definizione di politiche di conservazione su larga scala.
Per contribuire al raggiungimento degli obiettivi BIO-2030 dell'UE, abbiamo valutato la copertura dell'area terrestre delle StPA in Europa, tra regioni biogeografiche e Paesi. Si è quindi fornito una stima prudente dell'espansione dell'area necessaria delle APS per raggiungere l'obiettivo del 10% dell'UE BIO-2030.
Metodi
Abbiamo analizzato la distribuzione delle APS (categorie IUCN Ia-Riserva Naturale, Ib-Area Naturale e II-Parco Nazionale) nell'area dei Paesi dell'UE27. Abbiamo preferito concentrarci su queste tre categorie IUCN perché corrispondono meglio alla definizione di ciò che un'area strettamente protetta è, e dovrebbe essere, nella maggior parte dei Paesi europei. Infatti, altri studi sull'efficacia delle aree strettamente protette in altre parti del mondo hanno riconosciuto che altre categorie potenzialmente idonee (come la Cat. IV) possono essere troppo poco rigide (ad esempio, progettate per un uso multiplo) per essere considerate strettamente protette (Ferraro et al. 2013). Questo vale anche per il caso dell'Europa.
Per la raccolta dei dati sono state utilizzate le seguenti fonti:
· Database comune sulle Designated Areas (CDDA; EEA 2021) per identificare le StPA,
· il layer* dei paesi dell'UE27 di Hijmans et al. (2018),
· il layer delle regioni biogeografiche europee (EEA 2020a),
· il layer Natura 2000 (EEA 2020c) che rappresenta la rete coordinata dell'UE di Natura 2000) e corrisponde solo in parte al CDDA,
· il layer Corine Land Cover 2018 (Copernicus 2021a), che classifica la superficie dell'UE in diverse coperture del suolo secondo lo standard Corine,
· il layer della griglia di riferimento del SEE (EEA 2020b), che è una griglia di 10 km che comprende tutta l'UE UE, ad eccezione dei territori francesi d'oltremare,
· il layer della griglia della densità di popolazione dell'UE27 (Gallego 2010), che cerca di rappresentare il censimento della popolazione dell'UE del 2011 a 1 km2,
· EU-DEM v.1.1 (Copernicus 2021b), un modello digitale di elevazione con risoluzione di 25 m che copre tutta l'UE tranne i territori francesi d'oltremare.
* layer [layer o strato informativo, è l'unità base della gestione dei dati e definisce attributi posizionali e tematici per gli elementi di mappa di una data area. Lo strato informativo, o strato geografico, è l'insieme degli elementi omogenei che compongono una mappa, come per esempio strade, corsi d'acqua, foreste, ecc. N.d.R.]
Tutti i layer sono stati recuperati con il sistema di riferimento di coordinate ETRS89-extended / LAEA Europe (EPSG:3035) o sono stati riproiettati in esso prima della successiva elaborazione. Abbiamo estratto i poligoni delle StPA da CDDA, mantenendo solo le aree protette terrestri e parzialmente terrestri (“Terrestrial” e “Marine and Terrestrial” nel campo “majorEcosystemType”) ed escludendo i territori francesi d'oltremare. Abbiamo contato il numero totale di aree protette e la loro frequenza nelle diverse categorie IUCN. In seguito, abbiamo rasterizzato [La rasterizzazione è il lavoro di conversione di un'immagine bidimensionale descritta da vettori (in grafica vettoriale), in un'immagine raster o bitmap, ovvero formata da pixel. N.d.R.] le aree strettamente protette a una risoluzione di 250 m e le abbiamo allineate a quella griglia. Quando nello stesso pixel sono state trovate StPA con diverse categorie IUCN, abbiamo mantenuto quella più rigida (cioè Ia>Ib> II). Abbiamo sovrapposto le regioni biogeografiche e i Paesi alle aree protette, rasterizzandole con la stessa risoluzione ed estensione. Poiché eravamo interessati alle porzioni terrestri delle APS interamente o solo parzialmente terrestri, abbiamo rimosso le porzioni marine mascherandole con i raster delle regioni biogeografiche e dei Paesi.Successivamente, abbiamo calcolato l'area totale delle StPA e quella delle categorie IUCN. Abbiamo inoltre calcolato le stesse metriche tra regioni biogeografiche e Paesi, nonché la quota relativa delle varie APS per ogni regione biogeografica e Paese.
Per analizzare la distribuzione altimetrica delle StPA nelle regioni biogeografiche e nei Paesi, abbiamo prima aggregato le tessere EU-DEM v.1.1 da 25 a 250 m, le abbiamo unite in un unico strato e le abbiamo sovrapposte agli strati precedentemente elaborati. In seguito, abbiamo confrontato la distribuzione proporzionale dell'area lungo il gradiente altimetrico delle StPA con la distribuzione proporzionale dell'area lungo il gradiente altimetrico di ciascuna regione biogeografica e paese, mediante test di Wilcox.
Abbiamo quantificato l'area potenzialmente disponibile per espandere le StPA nei Paesi dell'UE27 per raggiungere l'obiettivo del 10%. Per questa analisi, non abbiamo considerato il valore della biodiversità dei siti, ma ci siamo concentrati solo sulla quantità di superficie dei siti, ma ci siamo concentrati solo sulla quantità di area come primo valore di riferimento. Abbiamo ipotizzato che le aree potenzialmente disponibili avessero una bassa densità di popolazione umana. Abbiamo iniziato eliminando le StPA esistenti. In secondo luogo, abbiamo aggregato la griglia della densità di popolazione (persone/km2) da 100 a 500 m di risoluzione spaziale; la densità di popolazione in ogni cella con risoluzione di 500 m è stata ottenuta prendendo il valore medio delle 25 celle più piccole della griglia con risoluzione di 100 m. Dopo questa procedura, abbiamo ricampionato la griglia della densità di popolazione con celle di 500 m, generando una nuova griglia con risoluzione di 250 m, utilizzando l'interpolazione bilineare, che si sovrapponeva esattamente agli altri strati. Sono state eliminate tutte le aree con densità di popolazione superiore al valore mediano delle StPA esistenti di tipo II. Successivamente, sono state rimosse le superfici artificiali e le aree agricole rasterizzando i poligoni Corine Land Cover con codici che iniziano con 1 o 2 (“Superfici artificiali” e “Aree agricole”, rispettivamente) a 250 m di risoluzione. Abbiamo analizzato la distribuzione dell'area potenzialmente disponibile tra le regioni biogeografiche e i Paesi e abbiamo aggiunto questi valori all'area delle StPA già esistenti per stimare la fattibilità di raggiungere l'obiettivo del 10% tra le regioni biogeografiche e i Paesi.
Abbiamo inoltre intersecato l'area potenzialmente disponibile con i poligoni dei siti Natura 2000 per identificare la sovrapposizione con aree che sono protette in qualche misura dalla legislazione dell'UE (la rete Natura 2000) e che possono corrispondere ad altre forme di protezione nazionale o subnazionale (Tabella supplementare 4). Abbiamo escluso dall'analisi le isole portoghesi delle Azzorre e di Madeira, perché per queste aree non erano disponibili dati sulla densità di popolazione. Natura 2000 è la più grande rete coordinata di aree protette al mondo, che si estende sul 18% della superficie terrestre dell'UE e su oltre l'8% del suo territorio marino e mira a proteggere la biodiversità europea (CE 2021). L'obiettivo della rete è garantire la sopravvivenza a lungo termine delle specie e degli habitat europei più preziosi e minacciati, elencati nelle direttive Uccelli e Habitat (CE 2021). Natura 2000 è costituita da aree sottoposte a diversi gradi di protezione, con molti siti gestiti per un uso sostenibile delle risorse naturali (CE 2023). Rispetto alla classificazione IUCN, che si concentra sugli obiettivi di gestione, l'obiettivo di Natura 2000 è la conservazione in uno “stato soddisfacente” degli habitat e delle specie elencati negli allegati delle suddette direttive (CE 2021). I singoli Stati membri decidono le misure di conservazione caso per caso e i diversi siti Natura 2000 sono gestiti con approcci diversi e possono, quindi, essere classificati in varie categorie IUCN. Per la loro attenzione alla conservazione delle specie e degli habitat combinata con la gestione sostenibile delle risorse, la maggior parte dei siti Natura 2000 può essere classificata come categoria IUCN IV (area di gestione di habitat e specie) o VI (area protetta con uso sostenibile delle risorse naturali). Tuttavia, alcuni siti Natura 2000 sono situati all'interno di parchi nazionali o riserve rigorose e quindi possono essere classificati come IUCN Ia, Ib o II (Tabella supplementare 4).
Tutte le analisi eseguite e gli elaborati grafici sono stati preparati con R v. 3.6.3 (R Core Team 2021) e i pacchetti raster (Hijmans 2020), RStoolbox (Leutner et al. 2019), tidyverse (Wickham et al., 2019), sf (Gallego 2010), terra (Hijmans 2021), patchwork (Pedersen 2020), ggridges (Wilke 2021), ggsci (Xiao 2018) e scales (Wickham & Seidel 2020).
Risultati
Sono stati registrati 9.382 StPA con un'area complessiva di 139.153,38 km2, pari al 3,37% dell'area terrestre dell'UE27. Tra queste, 7.812 StPA appartengono alla categoria IUCN Ia (superficie totale di 11.729,62 km2, 0,28% dell'area), 1.101 appartengono alla categoria Ib (60.476,88 km2, 1,46%) e 469 sono di categoria II (66.946,88 km2, 1,62%).
Aree strettamente protette nei diversi Paesi e regioni biogeografiche
L'area complessiva coperta da StPA è bassa per la maggior parte dei Paesi e delle regioni biogeografiche (Fig. 1). Il Lussemburgo e la Svezia sono gli unici Paesi che hanno raggiunto l'obiettivo del 10% di StPA (Fig. 1). Tuttavia, per la Svezia, mentre la parte del Paese nella Regione Alpina era al di sopra dell'obiettivo (39,4%), le zone del Paese nelle Regioni Boreali e Continentali erano al di sotto della soglia (rispettivamente, 3,2% e 0,6%). Tutti gli altri Paesi hanno registrato un valore complessivo di StPA<10%, con alcuni Paesi che hanno superato l'obiettivo all'interno di alcune regioni biogeografiche, come Finlandia, Slovenia e Bulgaria nella Regione Alpina (rispettivamente, 73,6%, 11,2% e 12%), Spagna nella regione Macaronesica (19,2%) [Macaronesia, nome collettivo moderno utilizzato per indicare diversi arcipelaghi dell'oceano Atlantico settentrionale situati al largo delle coste africane N.d.R.], Lituania nella regione Continentale (84,2%) e Portogallo nella regione Atlantica (10,1%).
La situazione nei vari Paesi si rispecchia nelle regioni biogeografiche (Fig. 1), con solo due regioni che hanno raggiunto l'obiettivo del 10%. Complessivamente, solo nella regione Alpina l'obiettivo è stato raggiunto (16,5%) dalle StPA alpine ad alta copertura in Svezia, Finlandia, Sloveniae Bulgaria, mentre altri 12 Paesi, per lo più nelle zone centrali e meridionali della regione alpina, non raggiungono attualmente l'obiettivo del 10%. Nella regione della Macaronesia, l'obiettivo è raggiunto in Spagna (19,2%) ma non in Portogallo (5,2%). In tutte le altre regioni biogeografiche, la copertura dell'StPA è stata di gran lunga inferiore all'obiettivo del 10%, e nelle regioni Continentali, del Mar Nero, Atlantiche e Steppiche è stata addirittura inferiore all'1%.
FIG. 1 Protezione generale rigorosa (IUCN, Ia, Ib e II)
Fig. 1 Percentuale di area effettivamente coperta da aree strettamente protette (categoria IUCN Ia, Ib e II) tra i Paesi dell'UE27 e le regioni biogeografiche.
FIG. 2 Protezione generale rigorosa (IUCN, Ia, Ib e II)
Fig. 2 Aree sottoposte a protezione nelle diverse regioni biogeografiche relativamente alle aree strettamente protette. L'area complessiva sotto protezione (%) per ogni regione biogeografica è mostrata per tutte le aree strettamente protette nel riquadro superiore e per le 3 diverse categorie IUCN (Ia, Ib e II) in quelli inferiori.
Tipi di STPA nelle varie regioni biogeografiche e nei vari Paesi
Considerando solo le categorie di protezione più severe (IUCN Ia e Ib), il livello di protezione nelle regioni biogeografiche è risultato molto basso per la maggior parte delle regioni (Fig. 2 e Tabella supplementare 1). Sei delle nove regioni biogeografiche hanno una protezione complessiva da parte delle StPA di tipo Ia e Ib inferiore all'1%, e solo le regioni Alpine, Boreali e Macaronesiche hanno un livello di protezione molto bassosuperiore all'1%. La regione steppica non presenta alcuna StPA di tipo Ia o Ib (Fig. 2 e Tabella supplementare 1). Considerando le StPA di tipo II (Tabella supplementare 1), quattro regioni hanno una copertura < 1% (Atlantico, Mar Nero, Continentale e Steppico) mentre le altre regioni hanno valori compresi tra 1 e 10%. Il contributo delle StPA di tipo II è > 1% in cinque delle nove regioni biogeografiche, ma solo nella regione Alpina raggiunge valori> 5% (Fig. 2 e Tabella supplementare 1).
FIG. 3
Fig. 3 Aree sottoposte a protezione nei 27 Paesi dell'UE relativamente alle aree strettamente protette. L'area complessiva sotto protezione (%) per ogni Paese è riportata per tutte le aree strettamente protette nel riquadro superiore e per le 3 diverse categorie di IUCN (Ia, Ib e II) in quelli inferiori.
A livello nazionale, la Svezia, la Finlandia, l'Estonia, il Lussemburgo e la Slovacchia hanno un'area cumulativa di StPA di tipo Ia e Ib> 1%, con i primi due Paesi > 5% (Fig. 3 e Tabella supplementare 2). Tutti gli altri Paesi hanno valori < 1%. Diciotto Paesi hanno una superficie protetta da StPA di tipo II> 1% e 5 Paesi (Lussemburgo, Lettonia, Italia, Slovenia e Paesi Bassi) hanno una superficie protetta da StPA di tipo II> 3% (Fig. 3 e Tabella supplementare 2).
FIG. 4
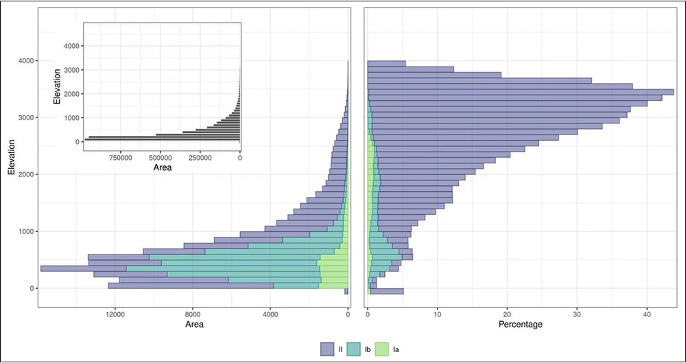
Fig. 4 Distribuzione delle aree strettamente protette (categoria IUCN Ia, Ib e II) nelle fasce di 100 m per tutta l'UE27. L'area complessiva delle aree strettamente protette è mostrata nel riquadro di sinistra, mentre la proporzione di aree strettamente protette rispetto alla superficie effettiva è mostrata nel riquadro di destra.
Aree protette nelle fasce altimetriche
La distribuzione complessiva delle StPA nelle fasce altimetriche ha mostrato che la maggior parte delle aree protette si trova al di sotto dei 1000 m s.l.m., ma la loro superficie complessiva non ha raggiunto l'obiettivo del 10% (Fig. 4). La quantità di StPA è superiore all'obiettivo del 10% solo al di sopra dei 1400 m s.l.m. (Fig. 4). È interessante notare che la maggior parte delle StPA di tipo Ib si trova tra i 300 e i 700 m (Fig. 4). All'interno delle regioni biogeografiche, le StPA mostrano una distribuzione molto incoerente rispetto all'effettivo intervallo altimetrico continentale (Fig. 5a), con differenze significative tra le distribuzioni altimetriche dell'intera area biogeografica e quelle delle rispettive aree protette. Esaminando separatamente le categorie di StPA, anche le distribuzioni altimetriche differiscono significativamente da quelle delle regioni biogeografiche nel loro complesso: quasi tutte le regioni, ad eccezione di quella “alpina”, presentano una bassa copertura di StPA alle quote più basse, in particolare al di sotto dei 300 m (Fig. 5a). Un quadro simile emerge a livello nazionale, con tutti i Paesi che mostrano una differenza significativa tra la distribuzione altimetrica delle StPA e la distribuzione della loro fascia altimetrica (Fig. 5b). Solo Malta e la Lettonia hanno mostrato differenze inferiori, ma la divergenza è ancora statisticamente significativa (p < 0,05).
Ampliare le StPA per raggiungere l'obiettivo del 10%
L'analisi dell'area potenzialmente disponibile per espandere la rete di StPA fino a raggiungere l'obiettivo del 10% (Fig. 6), ha mostrato che esistono ottime possibilità nelle regioni biogeografiche Alpina, Boreale, Macaronesica, del Mar Nero e Mediterranea, in cui quasi tutti i Paesi hanno un'area disponibile con una bassa densità di popolazione per espandere le loro StPA. Fanno eccezione la Slovacchia nella regione Alpina, la Lituania nella regione Boreale, il Portogallo e Malta nella regione mediterranea; in questi casi, l'area potenzialmente disponibile per l'espansione della rete di StPA non è sufficiente. Per le regioni steppiche, atlantiche, pannoniche e continentali non c'è area potenzialmente disponibile per espandere la rete di StPA fino all'obiettivo del 10% (Fig. 6), ma abbiamo identificato aree disponibili sufficienti per superare l'obiettivo del 10% in alcuni casi specifici: Bulgaria nella regione steppica, Irlanda e Portogallo nella regione atlantica, Croazia nella regione pannonica, Lussemburgo, Grecia e Lituania nella regione continentale (Fig. 6).
La protezione rigorosa all'interno della rete Natura 2000 dell'UE27 varia tra il 10 e il 40% e mostra un'elevata variabilità tra i Paesi, così come la percentuale di aree Natura 2000 sottoposte a protezione rigorosa, che parte da un minimo dello 0,6% in Belgio e raggiunge un massimo del 72,7% in Finlandia, con 14 nazioni su 27 al di sotto del 10% (Tabella supplementare 4).
FIG 5

Fig. 5 a Confronto tra regioni biogeografiche e b Paesi nella distribuzione proporzionale delle aree strettamente protette (categoria IUCN Ia, Ib e II) nell'intervallo altimetrico rispetto alla distribuzione proporzionale della superficie terrestre. Le stelle rappresentano il livello di significatività statistica (test di Wilcox con correzione di Holm con * 0,01 < p-valore < 0,05, ** 0,001 < p-valore < 0,01, *** 0,0001 < -p-valore < 0,001, **** p-valore < 0,0001 e ns per i risultati non significativi).
FIG 6

Fig. 6 Area potenziale (%) per una protezione rigorosa e area attuale sotto protezione rigorosa in ogni regione biogeografica e paese dell'UE-27.
Discussione
Quantità di aree strettamente protette nei Paesi dell'UE-27
Il numero di StPA nei Paesi dell'UE27 è piuttosto elevato, ma la loro superficie complessiva è bassa rispetto alla superficie terrestre e sono distribuite in modo disomogeneo tra regioni biogeografiche, Paesi e altitudini. Questo rappresenta un rischio importante in termini di risposta ai cambiamenti climatici e di mantenimento della capacità di conservazione a lungo termine (Hoffmann et al. 2019). In effetti, solo il 3,37% del continente è coperto da StPA (categorie IUCN Ia, Ib o II), e un'area aggiuntiva quasi doppia rispetto a quella attuale (273.909,34 km2) dovrebbe essere aggiunta a questa rete per raggiungere l'obiettivo del 10% di superficie stabilito dalla strategia BIO-2030 dell'UE27.
Sebbene sia assolutamente necessario, l'ampliamento dell'area delle StPA dovrebbe essere coordinato tra i Paesi dell'UE-27 per ottenere una copertura rappresentativa delle regioni biogeografiche, dei Paesi e delle fasce altimetriche. La nostra analisi sottolinea che le StPA esistenti sono orientate verso i luoghi che hanno meno probabilità di subire pressioni di conversione del territorio, come le zone più elevate e regioni/paesi specifici. L'ubicazione preferenziale delle aree protette alle latitudini e alle altitudini più elevate, nonché sui pendii più ripidi, è un orientamento tipico (Joppa et al., 2009; Sayre et al. 2020; Vimal et al. 2021). Proteggere queste aree è importante, ma è improbabile che la maggior parte di esse subisca una conversione ad altri usi del suolo e può essere considerata sicura anche in assenza dell'istituzione formale di aree protette. Noi sosteniamo che un allargamento strategico delle StPA dovrebbe essere finalizzato a preservare la biodiversità e i processi ecosistemici rilevanti nell'intera gamma di condizioni geografiche ed ecologiche europee.
Copertura delle aree strettamente protette nelle regioni biogeografiche, nei Paesi e nelle fasce altimetriche
A livello biogeografico, tutte le regioni, ad eccezione di quelle “alpine” e “macaronesiche”, hanno una protezione molto limitata, con una copertura cumulativa delle StPA ben al di sotto dell'obiettivo del 10%. Le regioni biogeografiche “atlantica”, del “Mar Nero”, “steppica”, “mediterranea” e “continentale”, che rappresentano complessivamente la maggior parte della superficie dell'Europa e ospitano ecosistemi e comunità altamente diversificati, specie rare e anche megafauna (Underwood et al. 2009), necessitano di un aumento delle StPA. Ad esempio, la regione mediterranea dell'Europa è un hotspot di biodiversità [area geografica che presenta una straordinaria ricchezza di specie, in particolare endemiche, N.d.T.] ma è scarsamente protetto (Médail e Quézel 1999; Underwood et al. 2009; Klausmeyer & Shaw 2009), molto meno degli ecosistemi equivalenti in Australia o in California (Baquero & Tellería, 2001). Inoltre, abbiamo evidenziato come la regione biogeografica “steppica” manchi di StPA, soprattutto nella categoria di protezione più rigida (tipo Ia e Ib). La quantità minima di StPA attualmente esistenti nella maggior parte delle regioni biogeografiche e dei Paesi richiede un'azione di conservazione urgente (Di Marco et al. 2019; Chauvenet et al. 2020), poiché queste aree sono essenziali per la conservazione a lungo termine di ecosistemi vitali.
Sebbene diversi Paesi dell'Europa settentrionale presentino un livello relativamente alto di superficie terrestre sottoposta a rigorosa protezione, la maggior parte dei Paesi sembra avere poche StPA. Inoltre, esistono molte differenze nella classificazione delle aree protette nei vari Paesi; ad esempio, la Francia ha pochissimi parchi nazionali (esclusi i territori d'oltremare), ma ha molti parchi regionali (Guignier&Prieur 2010; Hoffmann et al. 2018). Questo può influenzare i nostri risultati, poiché è difficile far corrispondere questi parchi regionali alle categorie IUCN. Casi simili esistono anche in altri Paesi e rappresentano un problema di conservazione e non solo una questione legislativa. Il livello di protezione nei parchi regionali, così come nella maggior parte dei siti Natura 2000, è notevolmente inferiore a quello delle aree protette, con diverse attività di gestione, come la caccia, l'agricoltura, la silvicoltura e persino l'edilizia, spesso consentite. Di conseguenza, le aree protette e Natura 2000 non possono fornire un livello di protezione paragonabile a quello raggiunto dalle StPA, che sono dedicate alla conservazione dei processi naturali (Aitchison, 1984; Tsiafouli et al. 2013) e quindi non possono essere incluse nel calcolo dell'obiettivo del 10%. Oltre alle differenze tra regioni biogeografiche e Paesi, le nostre analisi hanno mostrato che la distribuzione delle StPA è largamente distorta verso le altitudini più elevate. Ciò significa che le StPA all'interno di una data regione biogeografica o di un Paese non proteggono una porzione rappresentativa della loro area effettiva e lasciano una parte significativa di habitat ed ecosistemi non protetti dalla conversione del territorio e dal degrado degli habitat (Joppa & Pfaff 2009; Pimm et al. 2018; Hoffmann et al. 2019; Sayre et al. 2020).
Scenari per l'espansione delle aree strettamente protette in Europa
È urgente istituire nuove StPA utilizzando un approccio mirato a proteggere una porzione di territorio che sia pienamente rappresentativa della gamma di condizioni geografiche ed ecologiche. Questo obiettivo può essere raggiunto analizzando gli indicatori spaziali della biodiversità, la presenza di hotspot locali e la complementarità dei siti nella composizione delle specie e nelle funzioni ecosistemiche, possibilmente utilizzando una diversità di taxa [unità tassonomica N.d.R.]. Questa pianificazione deve essere abbinata agli hotspot di biodiversità e ai gradienti di ricchezza di specie e di endemismo, che devono ancora essere valutati in modo completo (si veda, ad esempio, Večeřa et al. 2021, per la ricchezza di famiglie di piante vascolari) o per i cambiamenti che dipendono dalla trasformazione umana (si veda Hatfield et al. 2022, per i cambiamenti nella ricchezza di specie di mammiferi). Tuttavia, la prima condizione fondamentale per implementare il 10% dell'area come strettamente protetta è l'effettiva disponibilità di tale area. Le nostre analisi hanno dimostrato che nelle regioni alpine, boreali, macaronesiche, del Mar Nero e mediterranee potrebbe essere possibile trovare aree potenzialmente disponibili per raggiungere l'obiettivo del 10% di StPA per la maggior parte dei Paesi dell'UE27, mentre nelle regioni steppiche, atlantiche, pannoniche e continentali le aree potenzialmente disponibili sono poche e non consentono di raggiungere l'obiettivo del 10% nella maggior parte dei Paesi.
I dati presentati mostrano la scarsa copertura dell'area degli StPA esistenti e la distanza dall'obiettivo del 10% fissato dall'UE BIO-2030. Sono già state sollevate preoccupazioni sulla capacità delle aree attualmente protette di preservare la biodiversità a livello continentale in Europa (Pimm et al. 2018; Hoffmann et al. 2019; Sayre et al. 2020). Anche il raggiungimento dell'obiettivo di base dell'espansione dell'area delle StPA al 10% dei Paesi dell'UE non è un compito facile e richiederebbe una strategia coordinata, che tenga conto di criteri condivisi per lo sviluppo di un piano di conservazione continentale per aumentare le StPA e raggiungere gli obiettivi UE BIO2030 (Jenkins & Joppa 2009; Pimm et al. 2018; Hoffmann et al. 2019; Vimal et al. 2021; Hoffman 2021).
Il raggiungimento dell'obiettivo del 10% può basarsi su un approccio più rigoroso alla conservazione delle aree già sottoposte a un livello di protezione inferiore. È il caso delle aree Natura 2000, la cui analisi mostra una copertura abbastanza buona (dal 10 al 40%) ma una protezione rigorosa molto bassa nella maggior parte dei Paesi, e di molti parchi nazionali, che in teoria appartengono alla categoria II (o I) della IUCN, ma che spesso consentono un'ampia varietà di attività di uso del suolo (in particolare nelle zone di non particolare interesse), come la silvicoltura o il pascolo di animali da allevamento. Tali attività, pur preservando spesso i paesaggi culturali, in genere ostacolano la conservazione dei processi ecosistemici fondamentali e impediscono l'insediamento dei grandi carnivori (Bargmann et al. 2019). Stabilire l'obiettivo del 10% di StPA è in linea con la conservazione di ampi spazi senza (o con un disturbo antropico molto limitato) per garantire la connettività ecologica (Perino et al. 2019; Brackhane et al. 2019; Bargmann et al. 2019; Saura et al. 2019; Ward et al. 2020).
Allo stesso tempo, riteniamo che altri fattori socio-politici influenzeranno la riqualificazione e la creazione di nuove StPA, e che questi debbano essere affrontati in modo specifico nelle future analisi volte a individuare in modo mirato i territori adatti per l’espansione di aree di stretta conservazione.
Rifugi dell’Antropocene e rewilding orientato alle politiche
L'obiettivo del 10% di superficie degli StPA è fondamentale per ottenere la conservazione a lungo termine dei processi ecosistemici e della biodiversità su larga scala, anche nella prospettiva di un massiccio rewilding di molte aree attualmente sfruttate (Carver et al 2021). Sosteniamo inoltre che preservare una superficie significativa sotto un regime di conservazione rigoroso possa garantire la conservazione a lungo termine dei meccanismi ecologici fondamentali, poiché è ormai evidente che il caos non è raro nelle dinamiche naturali e che esistono limiti intrinseci agli approcci di conservazione e gestione basati sullo stato stazionario (Rogers et al. 2022). In questa prospettiva, proponiamo inoltre che almeno la metà dell'area strettamente protetta di ogni regione biogeografica e di ogni Paese sia protetta con il regime più rigoroso (IUCN Ia e Ib). Ciò consentirà a una parte significativa dell'area dell'UE di fungere da rifugi dell'Antropocene, ossia aree che forniscono una protezione spaziale e a lungo termine dalle attività umane e che rimarranno idonee a sostenere la biodiversità e i processi ecologici nel lungo periodo (Monsarrat et al. 2019). Un primo passo in questa direzione sarebbe quello di aumentare la quota delle categorie di protezione più severe (Ia e Ib) all'interno delle aree protette esistenti, come i parchi nazionali. È necessario porre sotto stretta protezione ulteriori aree, possibilmente quelle caratterizzate da un elevato livello di naturalità e sufficientemente ampie da garantire la conservazione dei principali processi ecosistemici o addirittura il rewilding (Carver et al. 2021). Una crescente letteratura indica che, piuttosto che gestire o ripristinare determinate condizioni degli habitat, nuove opportunità di conservazione sono offerte dal rewilding, un approccio orientato ai processi (Higgs et al. 2018; Perino et al. 2019). Il concetto recentemente introdotto di “diritti di non uso” (Leonard et al. 2021) applicato a tali aree protette faciliterebbe la fusione della conservazione della biodiversità con le attività umane. Infine, proponiamo che questo approccio pionieristico di estensione del 10% promosso dall'UE27 e la nostra analisi di fattibilità possano essere adottati da altri Paesi del mondo per espandere le loro reti di APS.
Conclusioni
L'attuale superficie delle StPA nell'UE-27 è estremamente sbilanciata tra regioni biogeografiche, Paesi e fasce altimetriche e, con pochissime eccezioni, non rispetta l'obiettivo del 10% di protezione rigorosa. Pertanto, è necessario un notevole lavoro per raggiungere gli obiettivi di conservazione fissati dalla Strategia dell'UE per la biodiversità 2030, attraverso una rigorosa azione di cooperazione internazionale tra i Paesi (Hoffman 2021) e per essere pienamente rappresentativi della gamma di condizioni geografiche ed ecologiche. Suggeriamo che nelle regioni alpine, boreali, macaronesiche, del Mar Nero e mediterranee potrebbe essere possibile trovare superfici disponibili per raggiungere l'obiettivo del 10% di StPA a livello di regioni biogeografiche e per la maggior parte dei Paesi dell'UE27, mentre nelle regioni steppiche, atlantiche, pannoniche e continentali potrebbe non essere disponibile abbastanza terreno per raggiungere questo obiettivo. L'obiettivo del 10% di superficie sottoposta a protezione rigorosa dovrebbe essere integrato con l'obiettivo del 30% di aree protette, dedicato alla protezione più ampia degli habitat seminaturali e dei paesaggi culturali che contribuiscono anche alla conservazione della biodiversità.
Sottolineiamo che lo scenario reale è probabilmente peggiore di quello qui rappresentato, poiché la gestione di alcune aree protette non è sempre equivalente alla categoria IUCN indicata (Munoz e Hausner 2013; Hoffmann 2021). Alcuni parchi nazionali, che in teoria appartengono alla categoria IUCN II (o I), consentono un'ampia gamma di attività antropiche di utilizzo del territorio (ad esempio, silvicoltura, caccia o pascolo di animali domestici), ostacolando la conservazione di alcuni processi ecosistemici e l'insediamento di carnivori selvatici (Bargmann et al. 2019). È necessario preservare ampi spazi senza (o con un disturbo antropico molto limitato) per garantire la connettività ecologica (UNEP-WCMC e IUCN 2021b; Protected Planet 2020; JRC 2021; Brackhane et al. 2019; Bargmann et al. 2019; Saura et al. 2019; Ward et al. 2020).
Infine, la necessità di ampliare le StPA nei Paesi dell'UE27 dovrebbe essere accompagnata da un'armonizzazione dei dati attraverso il Global Database on Protected Area Management Effectiveness (Coad et al. 2015) insieme allo strumento di monitoraggio dell'efficacia gestionale (Protected Planet 2020) o all'Osservatorio digitale delle aree protette (DOPA 2021). Sosteniamo anche iniziative come Conservation Evidence (Conservation Evidence 2021), una risorsa informativa gratuita e autorevole, sostenuta da diversi enti di conservazione, progettata per supportare le decisioni su come mantenere e ripristinare la biodiversità globale, riassumendo le evidenze degli studi scientifici.
Per la consultazione dei Riferimenti indicati nello studio, gli Autori, le affiliazioni, le informazioni supplementari e altre indicazioni, si rinvia al documento originale al seguente link: https://doi.org/10.1007/s10531-023-02644-5
Il documento è stato integrato con le rettifiche apportate successivamente, reperibili al seguente link: https://doi.org/10.1007/s10531-023-02683-y
Cazzolla Gatti R., Zannini P., Piovesan G. et al.
Analysing the distribution of strictly protected areas toward the EU2030 target. Biodivers Conserv 32, 3157–3174 (2023).
https://doi.org/10.1007/s10531-023-02644-5
Traduzione a cura della Redazione di Antropocene.org
Fonte: Springer Nature 25.06.2023

